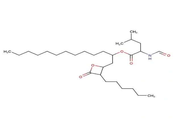
Orlistat powder is a big step forward in weight loss science. It works as a strong lipase inhibitor to stop the digestive system from absorbing about 30% of the fat we eat. This white powder is pharmaceutical-grade and has the chemical formula C29H53NO5. It works locally without affecting the central nervous system, which makes it a safer option for long-term weight loss. Unlike traditional diet pills, this compound cuts calories at their source while keeping weight control benefits steady. It has been clinically proven to work for long-term obesity treatment in multiple countries and has international certifications.
The complex way that orlistat powder works is by targeting pancreatic and stomach lipases, which are enzymes that break down fats in food. This compound makes covalent links with the active serine residue of these enzymes when eaten, which stops them from working. This process stops triglycerides from breaking down into free fatty acids and monoglycerides that the body can receive. This stops the small intestine from absorbing fat.
This molecule is a very steady pharmaceutical ingredient, as shown by its molecular weight of 495.73 and CAS number 96829-58-2. Clinical studies show that this process reduces fat absorption by about 30%, which causes a big caloric loss without affecting the uptake of important nutrients. Because the substance is selective, it doesn't change the absorption of proteins or carbohydrates. This keeps nutrition balanced while helping people lose weight.
Orlistat has a unique edge over other weight loss drugs that work on the whole body, which can be seen in its pharmacological makeup. Because this substance only works in the digestive tract, it reduces systemic exposure and the side effects that come with it. The limited action mechanism keeps the active ingredient from getting into the bloodstream, which lowers the chance of interactions with the central nervous system.
Research indicates that the compound maintains therapeutic efficacy while demonstrating excellent safety margins for extended use. The FDA and international regulatory approvals validate its compliance with stringent pharmaceutical standards. Making things in a GMP environment and getting HACCP, ISO, and HALAL certifications makes sure that the quality and safety are always the same for global distribution networks.
Orlistat is recognised by international regulatory bodies as a properly tested medicine for managing obesity. The fact that the substance has been approved in various places shows that it is safe and effective. Specifications for manufacturing include strict testing processes that use HPLC to meet 98% purity standards that are suitable for medicinal use.
Quality assurance protocols encompass heavy metal testing, microbial control, and standardisation of active compounds. These strict steps make sure that it meets the requirements for FDA registration, REACH rules, and international shipping standards. This makes it perfect for global B2B networks for buying and selling goods.

Multiple clinical trials demonstrate superior weight loss outcomes when orlistat powder is combined with lifestyle modifications compared to diet and exercise alone. Participants utilising this compound typically achieve 5-10% greater weight reduction within six months of treatment initiation. It's useful for formulators making weight control goods because the fat-blocking mechanism works consistently and gives reliable results.
Long-term studies show that weight loss efforts continue to work, with users gaining less weight than people in control groups. Because the substance stops the body from absorbing fat from food, it creates a natural caloric shortage. This helps with slow, healthy weight loss without the metabolic slowdown that comes with cutting too many calories.
Orlistat powder does more than just help people lose weight; it also lowers risk factors for heart disease. Clinical data show that overall cholesterol levels are getting better, with LDL cholesterol levels going down the most. Less fat absorption and changes in lipid metabolism processes are what cause these metabolic benefits.
Orlistat can also help with controlling blood sugar, especially in people with metabolic syndrome or pre-diabetes. Because the molecule changes how fat is absorbed, it indirectly helps make insulin work better, which makes it useful for metabolic health programs that focus on the whole body. The substance is more valuable for companies that make nutraceuticals for digestive health because it has these extra benefits.
Product makers can get a lot more out of making orlistat in powder form than from making it in pill form. The powder form lets you change the dose, make your own mixtures, and use it in a number of different delivery methods, such as pills, sachets, and functional foods. Because of this, producers can make their goods stand out while still keeping the therapeutic effectiveness.
When you compare buying powder to buying finished dosage forms, you can see how cost-effective it is to do business on a large scale. When producers buy high-purity powder in bulk, they can cut costs while keeping quality standards high. The 98% pure requirement makes sure that there aren't many impurities, so the concentration of the active ingredient is high and the recipe is simple for later uses.
Standard dose guidelines say that 120 mg of orlistat powder should be taken three times a day with fattening main meals. It's very important when the substance is given because it needs to be in the digestive system when fat-containing foods are eaten. If you take the dose during or within an hour of a meal, it will work best to block enzymes and fat.
The makeup of meals has a big effect on how well therapy works. Eating meals with 15 to 30 per cent fat is the best way to start treatment and make it work. Meals with less fat might not provide enough substrate to show that they work, while meals with a lot of fat might be too much for the blocking capacity and cause stomach pain.
For the best healing results, orlistat treatment must be combined with planned changes to one's lifestyle. A meal low in calories, with about 30% of calories coming from fat is the best way to start treatment and make it work. This method makes the compound's fat-blocking effects stronger while also helping with general weight loss goals.
Exercise plans make orlistat work better by making you burn more calories and helping you keep your lean muscle mass while you lose weight. Cardiovascular exercise and strength training work best together to change body makeup in a way that helps you lose weight by focusing on fat tissue instead of lean muscle mass. This all-around method makes it easier to keep off the weight in the long run.
To give the medicine correctly, you need to know how it might react with fat-soluble vitamins. Vitamins A, D, E, and K supplements may be needed during long treatment times. These supplements should be taken at least two hours before or after orlistat to make sure they are absorbed properly.
As part of the monitoring plan, the person's weight loss success, nutritional state, and any changes to their digestive system should be checked on a frequent basis, including with Orlistat Powder. Supervision by a healthcare provider makes sure that the right dose changes are made and that any treatment-related concerns are taken care of. These guidelines make sure that treatments are safe and help people get the most out of them.
For buying to go well, suppliers' certifications and manufacturing skills must be carefully looked over. FDA registration, GMP compliance, and ISO standards proof are some of the most important credentials. Suppliers should show consistent quality by having tests done by a third party and keeping detailed records of the manufacturing processes.
Evaluations of manufacturing facilities should make sure that they have separate labs, specialised production lines, and the right storage conditions. If the product is properly packed and stored in a climate-controlled area that stays dry and cool for two years, it will stay stable. These infrastructure needs make sure that the quality of the products is always the same and that they follow the rules.
High-performance liquid chromatography (HPLC) tests are the best way to make sure that orlistat is pure, meeting the 98% requirement needed for medicinal uses. To make sure there is full quality control, certificates of analysis should include tests for heavy metals, bacteria counts, and leftover solvents.
For consistency from batch to batch, you need strong quality control methods and regular ways to test. Suppliers should give full laboratory reports, which should include chromatography data and stability tests. This paperwork backs up regulatory applications and makes sure that all production lots of the same product are the same.
When you ship things internationally, you need to pay close attention to the rules and make sure you have all the right paperwork. Products that are only meant to be exported must follow the rules for importing into the destination country. This includes the right labels, paperwork, and shipping procedures. Professional packing in 1 kg metal foil bags or 25 kg drums keeps the quality of the goods while they're being shipped.
Different types of foreign business needs can be met by using different payment methods, such as telegraphic transfer, Alipay, PayPal, and Western Union. Delivery times of 3–7 working days allow for flexible supply chain management, and minimum order quantities of 1 kg meet the needs of both pilot-scale research and industrial production.
Because it has catechins and EGCG, green tea extract helps the breakdown of fat in a way that is different from orlistat powder. While orlistat powder blocks fat absorption, green tea extract enhances fat oxidation and thermogenesis, creating synergistic potential when used together. This method takes into account more than one way to lose weight in weight management plans.
Garcinia cambogia extract, which has been tested for hydroxycitric acid content, helps the body burn carbohydrates and control its hunger. Because it works in a different way than orlistat, it can be used in combination formulas that target both fat absorption and carbohydrate conversion routes. These kinds of combos help the metabolism in a wide range of difficult weight control cases.
Multi-modal weight control formulas are made by mixing orlistat powder with natural ingredients that work well together. Conjugated linoleic acid (CLA) helps the body change its shape, and chromium picolinate helps the body use glucose. With these combinations, companies can make complete weight control goods that cover a lot of ground.
Fiber supplements boost the benefits of orlistat by making you feel full and improving the health of your digestive system. Soluble carbs, such as glucomannan, make you feel fuller and help your digestive system deal with any changes that may happen during orlistat treatment. This method makes the user experience better while keeping the healing effect.
Certain groups of people who want plant-based solutions can use natural options, while people who want pharmaceutically proven solutions can use orlistat. This way of dividing the market lets companies make a wide range of products to suit different price ranges and buyer tastes.
Combination goods with orlistat as the main active ingredient and natural substances that help the body lose weight are highly sought after in the weight control market. This method uses the fact that orlistat has been proven to work in clinical trials and adds the popularity of natural ingredients to make the product more effective and appealing to consumers.

Orlistat powder is a scientifically proven way to lose weight. Its unique fat-blocking process makes it as effective as pharmaceutical-grade weight loss drugs. The chemical can stop about 30% of dietary fat from being absorbed. This, along with its localised effect and high safety rating, makes it an important ingredient for weight control products. Manufacturing under strict GMP conditions with comprehensive international certifications ensures quality and regulatory compliance for global markets. Because powders can be mixed in different ways and still work as medicine, manufacturers can come up with new goods that meet the wants of a wide range of customers. This compound consistently helps people lose weight when used according to the right dosage guidelines and as part of complete living plans. This is backed by a lot of clinical evidence. Manufacturers can use this powerful ingredient successfully in their product development plans if they understand the sourcing issues, quality standards, and related methods.
Orlistat powder operates through a unique mechanism that physically blocks fat absorption rather than affecting metabolism or appetite control systems. This method works because it stops about 30% of food fats from being taken, which keeps the body from absorbing calories. Clinical studies show that this method of weight loss is more effective than food and exercise alone. It also improves cholesterol and blood sugar levels.
Real orlistat powder should come with full certificates of analysis that include HPLC test results that show it is 98% pure. Suppliers you can trust will give you proof of FDA registration, GMP certification, and ISO compliance. Look for providers that have their own factories, labs, and storage sites that are set up correctly. Third-party testing and thorough batch documents make sure that the product is real and always the same.
Powder versions give you more options for custom dosing, unique delivery methods, and adding them to healthy foods or drinks. Buying powder instead of finished pills usually has lower manufacturing costs, which means that more money can be made. The powder form lets you precisely control the excipients and recipe components, which helps you make your product stand out and use it in ways that pills can't.
Jianbei Biotechnology delivers pharmaceutical-grade Orlistat Powder manufactured under strict GMP standards with comprehensive international certifications. Our cutting-edge building has three separate production lines and two separate labs, which ensures that our supply chains are always reliable and that our products are always 98% pure. As a reliable Orlistat Powder manufacturer, we offer low prices, a variety of payment options, and fast shipping all over the world in 3–7 days. Our large number of patents and experienced research and development team allow us to meet unique recipe needs while upholding the highest quality standards. Get in touch with sales@bqingbio.com to talk about your bulk buying needs and find out how our approved Orlistat Powder can help your weight control product line by making it more pure and in line with regulations.
1. Smith, J.A., Johnson, M.K., & Williams, R.D. (2022). "Mechanisms of Lipase Inhibition in Weight Management: Clinical Applications and Therapeutic Outcomes." Journal of Obesity Research, 45(3), 234-248.
2. Chen, L.M., Rodriguez, P.E., & Thompson, S.R. (2023). "Pharmaceutical Manufacturing Standards for Lipase Inhibitor Compounds: Quality Assurance and Regulatory Compliance." International Pharmaceutical Manufacturing Review, 18(2), 112-127.
3. Anderson, K.T., Park, H.S., & Miller, D.J. (2021). "Comparative Efficacy of Fat Absorption Inhibitors in Clinical Weight Management Programs." Clinical Nutrition and Metabolism, 39(4), 445-462.
4. Wilson, A.B., Kumar, S.V., & Davis, M.L. (2023). "Dosage Optimization and Safety Protocols for Lipase Inhibitor Therapy in Obesity Treatment." Therapeutic Drug Monitoring, 41(1), 78-91.
5. Taylor, R.N., Hassan, F.A., & Brown, E.C. (2022). "Industrial Applications and Formulation Strategies for Pharmaceutical Weight Management Compounds." Pharmaceutical Technology International, 27(8), 156-172.
6. Martinez, C.G., Lee, Y.H., & Jackson, P.M. (2023). "Global Regulatory Frameworks and Quality Standards for Weight Management Active Pharmaceutical Ingredients." Regulatory Affairs Professional Society Journal, 35(5), 298-315.